Редькин В.П., Равуцкая Ж.И. Методология изложения механики: 3-й закон Ньютона, сила тяжести
Редькин В. П., Равуцкая Ж. И. Методология изложения механики в школьном курсе физики: изучение третьего закона Ньютона. Сила тяжести. Сила веса // Фiзiка: праблемы выкладання. – 2009. – № 1. – С. 38–41
Одним из этапов формирования понятия силы в курсе физики старших классов является рассмотрение понятий "действие" и "противодействие" [1]. Этот этап связан с изучением третьего закона Ньютона.
Рассматривая изучение первого и второго законов Ньютона в школьном курсе физики [2; 3], мы говорили о силах, действующих на данное тело, и о результатах действия этих сил, не учитывая, со стороны какого тела действует сила, каково происхождение действующей силы. Однако изменение состояния движения тела происходит только в результате взаимодействия нескольких тел. В каждом конкретном случае, указывая на силу, необходимо указать два тела: тело, на которое действует сила, и тело, со стороны которого действует сила. В связи с этим возникает необходимость в рассмотрении третьего закона Ньютона, который был сформулирован им следующим образом [4]:
Действию всегда есть равное и противоположное противодействие; иначе — взаимодействия двух тел друг на друга равны между собой и направлены в противоположные стороны.
Таким образом, согласно третьему закону Ньютона, если тело 1 действует на тело 2 с силой , то, в свою очередь, тело 2 действует на тело 1 с силой
, равной по величине и противоположной по знаку силе
, обе силы направлены вдоль одной прямой:
(рис. 1, 2).


Третий закон Ньютона отражает тот факт, что сила есть результат взаимодействия двух различных тел. В этом законе в равной степени рассматриваются оба тела. Термины "действие" и "противодействие" — условны и взаимозаменяемы. При взаимодействии двух тел действие первого тела на второе можно назвать "действие" , а второго на первое — "противодействие"
, и на оборот. О числовых значениях сил взаимодействия в третьем законе Ньютона ничего не говорится.
Если в первом и во втором законах Ньютона говорится о силах, приложенных к одному телу, и в состоянии равновесия эти силы уравновешивают друг друга, то в третьем законе речь идёт о силах, приложенных к разным телам, поэтому они не могут компенсировать друг друга. Из третьего закона следует, что силы всегда появляются парами и являются силами одной природы. Причём, если взаимодействуют не два, а несколько тел, то в соответствии с принципом независимости действия сил третий закон Ньютона справедлив для любой пары взаимодействующих тел [5].
Следующий этап формирования понятия силы — рассмотрение проявления различных видов взаимодействий.
Сначала рассматривают гравитационные силы и закон всемирного тяготения:
Между двумя телами, массы которых равны m1 и m2, находящимися на расстоянии R друг от друга, действуют силы взаимного притяжения и
, направленные от одного тела к другому, причём величина силы тяготения пропорциональна произведению масс обоих тел и обратно пропорциональна квадрату расстояния между ними:

где γ=6,67*10-11H*м2/кг2— гравитационная постоянная.
Физический смысл гравитационной постоянной вытекает из закона всемирного тяготения: гравитационная постоянная численно равна силе, с которой взаимодействуют две единичные массы, находящиеся на расстоянии 1 м.
Свойства гравитационных сил следующие.
1. Они являются центральными — всегда направлены вдоль линии, соединяющей центры масс взаимодействующих тел (рис. 3).

2. Они являются универсальными — действуют на все материальные объекты (от элементарных частиц до галактик), их невозможно устранить или ослабить с помощью какой-либо преграды.
Частный случай проявления гравитационных сил — сила тяжести — сила, с которой тело притягивается к Земле:

Тела считаем материальными точками, поэтому сила тяжести приложена в центре масс тел (рис. 4).
Природа силы тяжести обусловлена гравитационной силой, приложенной к телу.

В одной из предыдущих статей [2] мы показали, что сила тяжести отличается от силы гравитационного взаимодействия между телом и Землёй вследствие суточного вращения Земли.
Под действием силы тяжести тело получает ускорение — ускорение свободного падения. Таким образом, сила тяжести приложена к телу со стороны Земли и направлена вертикально вниз.
Вес тела — сила, с которой тело действует на неподвижную относительно него опору или подвес, которые препятствуют свободному падению тела. Это есть сила давления на опору (сила натяжения подвеса).
В соответствии с третьим законом Ньютона вес тела равен по модулю и противоположен по направлению силе нормальной реакции опоры (подвеса), которая возникает в результате упругой деформации опоры (подвеса):

где— вес тела,
— сила реакции опоры,
— сила реакции подвеса.
Поэтому для определения веса тела в конкретном случае необходимо определить силу реакции опоры (подвеса) на основе второго закона Ньютона. Чтобы избежать путаницы в расстановке действующих сил, целесообразно на одном рисунке указать силы, приложенные к телу (рис. 5), а на другом — силы, приложенные к опоре (подвесу) (рис. 6).






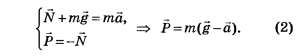
Если тело вместе с опорой находится в покое относительно выбранной инерциальной системы отсчёта, то

Если тело вместе с опорой движется с ускорением относительно инерциальной системы отсчёта, то

При этом в общем случае вектор не обязательно направлен вертикально.
Если тело вместе с опорой движется с ускорением вертикально вниз (рис. 7, 8), то из (2) в проекции на ось Оу следует:


В этом случае вес тела меньше, чем сила тяжести. Такое состояние тела называют частичной невесомостью. При таком движении с ускорением вес тела равен нулю..Такое состояние тела называют полной невесомостью.
Если тело вместе с опорой движется с ускорением вертикально вверх (рис. 9, 10), то из (2) в проекции на ось Оу следует:



В этом случае вес тела больше, чем сила тяжести. Такое состояние тела называют перегрузкой. Иногда под перегрузкой понимают отношение

Если тело, подвешенное на нити, движется по окружности в горизонтальной плоскости (рис. 11, 12), то в соответствии со вторым и третьим законами Ньютона

Тогда в проекции на ось Ох::



Таким образом, при изучении третьего закона Ньютона, силы тяжести и силы веса необходимо подвести учащихся к следующим выводам:
1. Силы, рассматриваемые в третьем законе Ньютона, приложены к разным телам.
2. Эти силы численно равны друг другу.
3. Они направлены противоположно друг другу.
4. Эти силы не уравновешивают друг друга.
5. Из третьего закона Ньютона нельзя определить численное значение этих сил.
6. Сила тяжести приложена к телу со стороны Земли и всегда направлена вертикально вниз.
7. Вес тела приложен к опоре (подвесу) со стороны тела и всегда направлен противоположно силе реакции опоры (подвеса).
Список использованной литературы
1. Редькин, В. П. Методология изложения механики в школьном курсе физики: изучение первого закона Ньютона / В. П. Редькин, Ж. И. Равуцкая // Фізіка: праблемы выкладання. — 2008. — № 3. — С. 9—12.
2. Редькин, В. П. Методология изложения механики в школьном курсе физики: изучение второго закона Ньютона / В. П. Редькин, Ж. И. Равуцкая // Фізіка: праблемы выкладання. — 2008. — № 6. — С. 17—21.
3. Стрелков, С. П. Механика / С. П. Стрелков. — М. : Наука, 1975.
4. Теория и методика обучения физике в школе: частные вопросы / С. Е. Каменецкий [и др.]; под ред. С. Е. Каменецкого. — М. : Академия, 2000.
5. Физика / В. А. Бондарь [и др.]; под общ. ред. проф. В. А. Яковенко. — Минск : БелЭн, 2002
Выложил | alsak |
Опубликовано | 13.03.12 |
Просмотров | 10375 |
Рубрика | Методика |
Тема | Динамика |