Жидкевич В.И. Электрическое поле плоскости
Жидкевич В. И. Электрическое поле плоскости // Фізіка: праблемы выкладання. — 2009. — № 6. — С. 19—23.
Задачи по электростатике можно разделить на две группы: задачи о точечных зарядах и задачи о заряженных телах, размеры которых нельзя не учитывать [1—5].
Решение задач по расчёту электрических полей и взаимодействий точечных зарядов основано на применении закона Кулона и не вызывает особых затруднений. Более сложным является определение напряжённости поля и взаимодействия заряженных тел конечных размеров: сферы, цилиндра, плоскости. При вычислении напряжённости электростатических полей различной конфигурации следует подчеркнуть важность принципа суперпозиции и использовать его при рассмотрении полей, созданных не только точечными зарядами, но и зарядами, распределёнными по поверхности и объёму. При рассмотрении действия поля на заряд формула F=qE в общем случае справедлива для точечных заряженных тел и только в однородном поле применима для тел любых размеров и формы, несущих заряд q.
Электрическое поле конденсатора получается в результате наложения двух полей, созданных каждой пластиной.
В плоском конденсаторе можно рассматривать одну пластину как тело с зарядом q1 помещённое в электрическое поле напряжённостью Е2, созданное другой пластиной.
Рассмотрим несколько задач.
1. Бесконечная плоскость заряжена с поверхностной плотностью σ>0. Найдите напряжённость поля Е и потенциал ϕ по обе стороны плоскости, считая потенциал плоскости равным нулю. Постройте графики зависимостей Е(х), ϕ(х). Ось х перпендикулярна плоскости, точка х=0 лежит на плоскости.
Решение. Электрическое поле бесконечной плоскости является однородным и симметричным относительно плоскости. Его напряжённость
Связь между напряжённостью и разностью потенциалов между двумя точками однородного электростатического поля выражается формулой
где х — расстояние между точками, измеренное вдоль силовой линии. Тогда ϕ2=ϕ1-Eх. При х<0
при х>0 
Зависимости Е(х) и ϕ(х) представлены на рисунке 1.

2. Две плоскопараллельные тонкие пластины, расположенные на малом расстоянии d друг от друга, равномерно заряжены зарядом поверхностной плотностью σ1 и σ2. Найдите напряжённости поля в точках, лежащих между пластинами и с внешней стороны. Постройте график зависимости напряжённости Е(х) и потенциала ϕ(х), считая ϕ(0)=0. Рассмотрите случаи, когда: a) σ1=-σ2; б) σ1= σ2; в) σ1=3σ2-
Решение. Так как расстояние между пластинами мало, то их можно рассматривать как бесконечные плоскости.
Напряжённость поля положительно заряженной плоскости равна
и направлена от неё; напряжённость поля отрицательно заряженной плоскости направлена к ней.
Согласно принципу суперпозиции поле в любой рассматриваемой точке будет создаваться каждым из зарядов в отдельности.
а) Поля двух плоскостей, заряженных равными и противоположными по знаку зарядами (плоский конденсатор), складываются в области между плоскостями и взаимно уничтожаются во внешних областях (рис. 2, а).
При х<0 Е=0, ϕ=0; при 0<x<d
при x>d Е=0,
Графики зависимости напряжённости и потенциала от расстояния х приведены на рисунке 2, б, в.

Если плоскости конечных размеров, то поле между плоскостями не будет строго однородным, а поле вне плоскостей не будет точно равно нулю.
б) Поля плоскостей, заряженных равными по величине и знаку зарядами (σ1=σ2), компенсируют друг друга в пространстве между плоскостями и складываются во внешних областях (рис. 3, а). При х<0
при 0<x<d E=0; при х>d 
Воспользовавшись графиком Е(х) (рис. 3, б), построим качественно график зависимости ϕ(х) (рис. 3, в).

в) Если σ1= σ2, то, учитывая направления полей и выбирая направление направо за положительное, находим:

Зависимость напряжённости Е от расстояния показана на рисунке 4.

3. На одной из пластин плоского конденсатора ёмкостью С находится заряд q1=+3q, а на другой q2=+q. Определите разность потенциалов между пластинами конденсатора.
Решение. 1-й способ. Пусть площадь пластины конденсатора S, а расстояние между ними d. Поле внутри конденсатора однородное, поэтому разность потенциалов (напряжение) на конденсаторе можно определить по формуле U=E*d, где Е — напряжённость поля внутри конденсатора.

где Е1, Е2 — напряжённости поля, создаваемого пластинами конденсатора.


2-й способ. Добавим на каждую пластину заряд
Тогда пластины конденсатора будут иметь заряды +q и -q. Поля одинаковых зарядов пластин внутри конденсатора компенсируют друг друга. Добавленные заряды не изменили поле между пластинами, а значит, и разность потенциалов на конденсаторе. U=q/C.
4. В пространство между обкладками незаряженного плоского конденсатора вносят тонкую металлическую пластину, имеющую заряд +q. Определите разность потенциалов между обкладками конденсатора.
Решение. Так как конденсатор не заряжен, то электрическое поле создаётся только пластиной, имеющей заряд q (рис. 5). Это поле однородное, симметричное относительно пластины, и его напряжённость
Пусть потенциал металлической пластины равен ϕ. Тогда потенциалы обкладок А и В конденсатора будут равны ϕ-ϕА=ϕEl1; ϕА=ϕ-El1; ϕ-ϕB=ϕ-El2; ϕB=ϕ-El2.

Разность потенциалов между обкладками конденсатора
Если пластина находится на одинаковом расстоянии от обкладок конденсатора, то разность потенциалов между обкладками равна нулю.
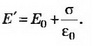
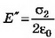
5. В однородное электрическое поле напряжённостью Е0 перпендикулярно силовым линиям помещают заряженную металлическую пластину с плотностью заряда на поверхности каждой стороны пластины σ (рис. 6). Определите напряжённость поля Е' внутри и снаружи пластины и поверхностную плотность зарядов σ1и σ2, которая возникнет на левой и правой сторонах пластины.

Решение. Поле внутри пластины равно нулю и является суперпозицией трёх полей: внешнего поля Е0, поля, создаваемого зарядами левой стороны пластины, и поля, создаваемого зарядами правой стороны пластины. Следовательно,
где σ1 и σ2 — поверхностная плотность заряда на левой и правой сторонах пластины, которая возникает после внесения пластины в поле Е0. Суммарный заряд пластины не изменится, поэтому σ1+σ2=2σ, откуда σ1=σ-ε0E0, σ2=σ+ε0E0. Поле снаружи пластины является суперпозицией поля Е0 и поля заряженной пластины Е. Слева от пластины
Справа от пластины 
6. В плоском воздушном конденсаторе напряжённость поля Е= 104 В/м. Расстояние между обкладками d=2 см. Чему будет равна разность потенциалов, если между пластинами параллельно им поместить металлический лист толщиной d0=0,5 см (рис. 7)?

Решение. Поскольку электрическое поле между пластинами однородное, то U=Ed, U=200 В.
Если между пластинами пометить металлический лист, то получается система из двух последовательно соединённых конденсаторов с расстоянием между пластинами d1 и d2. Ёмкости этих конденсаторов
Их общая ёмкость

Так как конденсатор отключён от источника тока, то заряд конденсатора при внесении металлического листа не меняется: q'=CU=С'U1;
где
емкость конденсатора до внесения в него металлического листа. Получаем:

7. На пластинах А и С, расположенных параллельно на расстоянии d=8 см друг от друга, поддерживаются потенциалы ϕ1= 60 В и ϕ2=-60 В соответственно. Между ними поместили заземлённую пластину D на расстоянии d1=2 см от пластины А. На сколько изменилась напряжённость поля на участках AD и CD? Постройте графики зависимостей ϕ(x) и Е(х).
Решение. Первоначальная напряжённость поля между пластинами А и С:
E1=1,5 кВ/м.
Напряжённость поля на участке AD: Е2= ϕ1/d1, Е2=3 кВ/м, т. е. увеличилась на 1,5 кВ/м. Напряжённость поля на участке CD Е3= ϕ2/d2, т.е. уменьшилась на Е3=0,5 кВ/м. Поскольку векторы
направлены противоположно положительному направлению оси Ох, то Ег, Е2, Е3<0 (рис. 8).




8. Точечный заряд q=5*10-9 Кл находится на расстоянии 3 см от проводящей заземлённой стенки. Найдите поверхностную плотность заряда, индуцированного на стенке в точке А, ближайшей к заряду, и в точке В, находящейся на расстоянии 5 см от заряда.
Решение. В точках А, В, расположенных в непосредственной близости к поверхности проводника (рис. 9), поле создаётся точечным зарядом q и зарядом q', индуцированным на стенке:

В точке А
где а — расстояние от заряда до стенки,
. Но поле внутри проводника равно нулю; следовательно,
. Отсюда 
В точке В величина нормальной составляющей напряжённости поля точечного заряда

где b — расстояние от заряда до точки, cosα=a/b,
— напряжённость поля плоскости.
Следовательно,
Список использованной литературы
1. Балаш, В. А. Задачи по физике и методы их решения / В. А. Балаш. — 4-е изд. — М. : Просвещение, 1983. — 432 с.
2. Бутиков, Е. И. Физика в примерах и задачах / Е. И. Бутиков, А. А. Быков, А. С. Кондратьев. — 3-е изд. — М. : Наука, 1989. — 462 с.
3. Зилъберман, Г. Е. Электричество и магнетизм / Г. Е. Зильберман. — М. : Наука, 1990. — 384 с.
4. Меледин, Г. В. Физика в задачах / Г. В. Меледин. — 2-е изд. — М. : Наука, 1990. — 270 с.
5. Сборник задач по физике / Л. П. Баканина [и др.]; под ред. С. М. Козела. — М. : Наука, 1990. — 347 с.
| Выложил | alsak |
| Опубликовано | 22.03.12 |
| Просмотров | 46301 |
| Рубрика | Решение задач |
| Тема | Электростатика |